- 2015-11-27 莱芜市钢城区人民政府办公室关于印发《莱芜市钢城区抗旱应急预案》的通知
- 2022-06-25 济南市钢城区人民政府办公室关于印发济南市钢城区防汛应急预案的通知
- 2023-07-06 济南市钢城区人民政府办公室关于印发《济南市钢城区防汛抗旱应急预案》的通知
- 2024-07-15 济南市钢城区防汛抗旱指挥部关于印发《济南市钢城区防汛抗旱应急预案》的通知
- 2025-07-17 济南市钢城区人民政府办公室关于印发济南市钢城区防汛抗旱应急预案的通知
济南市钢城区人民政府办公室关于印发《济南市钢城区防汛抗旱应急预案》的通知
济南市钢城区人民政府办公室
关于印发《济南市钢城区防汛抗旱应急预案》的通知
钢城政办字〔2023〕12号
各街道(功能区)办事处(管委会),区政府各部门,区属各企事业单位:
经区政府同意,现将修订后的《济南市钢城区防汛抗旱应急预案》印发给你们,请认真组织实施。
济南市钢城区人民政府办公室
2023年7月6日
(联系电话:区应急局,0531-76881098)
(此件公开发布)
济南市钢城区防汛抗旱应急预案
目 录
1 总则
1.1 基本情况
1.2 灾害与风险分析
1.3 编制目的
1.4 编制依据
1.5 适用范围
1.6 工作原则
2 组织指挥体系及职责
2.1 区级防汛抗旱指挥机构
2.2 抢险救灾指挥部
2.3 街道(功能区)防汛抗旱指挥机构
2.4 其他防汛抗旱指挥机构
2.5 会商机制
3 应急准备
3.1 明确责任
3.2 工程准备
3.3 预案准备
3.4 物资队伍准备
3.5 转移安置准备
3.6 救灾救助准备
3.7 防汛抗旱检查
3.8 技术准备
3.9 宣传培训
4 监测预警
4.1 监测
4.2 预警
5 应急响应
5.1 四级应急响应
5.2 三级应急响应
5.3 二级应急响应
5.4 一级应急响应
5.5 响应调整
5.6 响应终止
6 信息报告与发布
6.1 信息报告
6.2 信息发布
7 后期处置
7.1 水毁工程修复
7.2 灾后重建
7.3 保险理赔
7.4 生活安置
7.5 其他处置工作
7.6 总结评估
8 保障措施
8.1 后勤保障
8.2 应急队伍保障
8.3 通信与信息保障
8.4 交通运输保障
8.5 物资保障
8.6 人员转移保障
9 预案管理
9.1 编制与实施
9.2 宣传、培训与演练
10 奖励与责任追究
11 附则
11.1 名词术语定义
11.2 预案解释部门
11.3 预案实施时间
1 总则
1.1 基本情况
济南市钢城区位于济南市东南部,南邻新泰市,东与沂源县接壤,西北与莱芜区交界,全区总面积507.3平方公里。区域内地貌以山区丘陵为主,面积占85%以上,耕地面积15.48万亩。
地质情况:钢城区地质构造受鲁中纬向构造及鲁西旋卷构造的控制,构造形迹以断裂为主,褶皱次之。地形为南缓北陡的半圆形盆地,北东南三面山岭环绕。地形由南向北渐次降低,南部山体最高峰莲花山,海拔925米,最低北部大汶河,海拔高度220米,高差达705米。
气象:钢城区属暖温带大陆性半湿润季风气候区,寒暑适宜,光温同步,雨热同季。流域内春季干燥多风,夏季高温多雨,秋季天高气爽,冬季寒冷少雪。多年平均气温13.6摄氏度,霜冻期174天,最大冻结深度0.5米。
降水:根据实测观测资料统计,钢城区多年平均降水量772.1毫米,历年最大降水量为1404.9毫米(1964年),历年最小降水量为263.1毫米(1989年),降水量主要集中在汛期6~9月份,占全年的75%左右。
河流情况:钢城区境内流域面积50平方公里以上河流4条,分别为大汶河、辛庄河、盘龙河、颜庄河;50平方公里以下的河流96条,均属于黄河流域大汶河水系。
水库塘坝情况:钢城区共有中型水库4座;小(一)型水库6座,小(二)型水库48座;塘坝317座。
1.2 灾害与风险分析
钢城区地貌以山区丘陵为主,面积占85%以上,地形自南向北渐次降低。境内主要分布有大汶河、辛庄河、盘龙河、颜庄河等河道。区域内河流均为山丘区河道,源短流急,洪峰集中,暴涨暴落,极易发生山洪灾害。
1.3 编制目的
做好我区水旱灾害的防范和处置工作,保证防汛抗旱抢险救灾工作依法、科学、高效、有序进行,最大程度减少人员伤亡和财产损失。
1.4 编制依据
依据《中华人民共和国防洪法》《中华人民共和国突发事件应对法》《中华人民共和国防汛条例》《中华人民共和国抗旱条例》《山东省防汛抗旱应急预案》《济南市突发事件总体应急预案》《济南市防汛抗旱应急预案》《济南市钢城区突发事件总体应急预案》等规定,结合我区实际,编制本预案。
1.5 适用范围
本预案适用于全区所辖行政区域内的水旱灾害防范与应急处置工作。水旱灾害包括:河湖洪水、渍涝灾害、山洪灾害、由暴雨引发的泥石流和滑坡等地质灾害、台风引发的洪涝灾害、干旱灾害、供水危机,以及由洪水、地震等引发的水库垮坝、堤防决口、水闸倒塌等次生衍生灾害。
1.6 工作原则
坚持人民至上、生命至上、安全第一。坚持党政同责、一岗双责,统一指挥、分级负责、属地管理,认真落实各街道办事处(功能区管委会)及相关部门单位责任,以防为主,实现防抗救结合;积极动员社会力量,依法开展防控工作。
2 组织指挥体系及职责
区、街道(功能区)依法设立防汛抗旱指挥机构,负责开展本辖区防汛抗旱工作;根据需要,可组建抢险救灾指挥部。有防汛抗旱任务的单位可根据自身职责设立相应的行业防汛抗旱办事机构,按照“行业管、管行业”的原则,做好本行业、本单位防汛抗旱工作。
2.1 区级防汛抗旱指挥机构
钢城区防汛抗旱指挥部(以下简称区防指)为区委防灾减灾救灾领导小组设立的防汛抗旱工作专项议事协调机构,负责组织领导全区防汛抗旱工作。钢城区防汛抗旱指挥部办公室(以下简称区防指办公室)设在区应急局,承担指挥部的日常工作。
区防指由区政府主要领导同志任指挥,区政府相关分管领导同志任常务副指挥;区政府办公室、区人武部、区应急局、区水务局、区消防救援大队主要负责同志任副指挥;区委、区政府有关部门单位和相关重点企业负责同志为指挥部成员。
2.1.1 区防指职责
贯彻落实有关防汛抗旱工作的法律法规规定,执行上级命令,研究制定全区防汛抗旱事件应对措施和指导意见,指导监督防汛抗旱重大决策的贯彻落实;指挥全区重大防汛抗旱事件抢险救灾工作;组织开展全区防汛抗旱安全检查,统筹安排全区防汛抗旱物资和人员,做好全区水旱灾害后期处置协调工作;承担区委、区政府交办的其他事项。
2.1.2 区防指成员单位职责
区防指各成员单位要认真贯彻执行区委、区政府决策部署和区防指工作要求,按照各自职责分工(详见附件)做好防汛抗旱工作,协同做好相关工作,形成防汛抗旱工作合力。
2.1.3 区防指办公室职责
承担区防指日常工作,负责执行区防指指令,按规定向区委、区政府报告有关工作情况;及时准确掌握汛情、旱情、灾情和工情,向区防指提出防汛抗旱工作建议;组织编制(修订)区级防汛抗旱应急预案,按程序报批并指导实施;组织开展防汛抗旱督导检查,指导监督各街道(功能区)和有关部门单位做好防汛抗旱工作;会同有关部门单位加强防汛抗旱物资储备调用;接收并转发相关单位发布的雨情、墒情信息;做好防汛抗旱宣传工作,提高全社会防洪抗旱减灾意识;承担区防指安排的其他工作。
2.2 抢险救灾指挥部
启动二级以上防汛抗旱应急响应时,结合防汛抗旱工作需要,成立区委、区政府抢险(抗旱)救灾指挥部,下设工作组。按照职责开展工作,需要重大事项决策时,由区防指指挥或常务副指挥签署命令。
指挥部视情下设综合协调、抢险救援、救灾建设、政策落实、市场保障、卫生防疫、情况报告、维护稳定、新闻宣传、专家会商等10个工作组。
(1)综合协调组。负责承担区抢险救灾指挥部日常组织协调工作,及时传达市委、市政府,区委、区政府以及市、区抢险救灾指挥部有关要求;协调各工作组、各街道(功能区)指挥部开展防汛抗旱救灾相关工作,汇总调度工作情况,编发工作简报;做好文件传阅、归档以及会务筹备、灾情统计、文稿起草等相关工作。
由区委办公室牵头,区政府办公室、区水务局、区应急局等部门单位参与。
(2)抢险救援组。负责组织各类救援队伍,协调民兵队伍,统筹调度救援物资设备,疏散、撤离受威胁人员,搜救失联人员,安抚死亡人员家属;提供地质灾害应急抢险救援技术支撑;做好现场管控和交通疏导工作,视情开设应急通道,保障应急处置人员车辆和物资装备通行需要;加强应急通信保障有关工作。
由区应急局牵头,区人武部、区工业和信息化局、区自然资源局、区交通运输局、区水务局、市公安局钢城区分局、区消防救援大队、国网莱芜供电公司钢城供电中心等部门单位参与。
(3)救灾建设组。负责组织协调人员转移安置;负责指导受灾地区对各类已建、在建及损毁设施实施拉网式排查,积极开展水毁修复工作,确保工程质量,尽快恢复各类工程防灾减灾功能;指导受灾地区开展损毁设施农业、畜禽养殖场恢复重建以及大田作物除水排涝等工作;组织农业畜牧科技人员下乡,帮助受灾群众迅速开展生产自救,尽快恢复农业生产;指导灾区加快道路、桥梁、房屋、供水、电力、通信等损毁设施抢修恢复工作;加强民居安全检测;指导受灾企业强化安全隐患排查,在确保安全的基础上,有序恢复生产;统筹保障重点建材产品生产和优质惠价供应;牵头超前谋划灾后重建工作,指导灾区做好重建规划的编制实施。
由区发展改革局牵头,区工业和信息化局、区住房城乡建设局、区交通运输局、区水务局、区农业农村局、区应急局、济南民生实业有限公司、区昌源水务集团有限公司、国网莱芜供电公司钢城供电中心等部门单位参与。
(4)政策落实组。负责抓好涉及防汛抗旱救灾的资金、土地、社保、税收等政策落实,督促金融机构落实支持灾区重建灾毁房屋、农村农业设施、基础设施的有关措施;指导协调保险公司加快完成灾后理赔和惠民保险品种创新工作;协调有关部门单位积极争取省、市级补助资金;督促财政资金足额及时拨付到位;鼓励社会各界捐助,统筹安排捐助的物资、资金、劳务、技术等资源;督促审计部门做好全程跟踪审计工作,确保资金使用合规合理、公开透明、安全有效。
由区财政局牵头,区总工会、区红十字会、区发展改革局、区民政局、区人力资源社会保障局、区自然资源局、区住房城乡建设局、区交通运输局、区水务局、区农业农村局、区应急局、区审计局、区税务局等部门单位参与。
(5)市场保障组。负责指导灾区加强蔬菜肉蛋奶供应;强化价格监管,严厉打击哄抬物价、囤积居奇等违法行为,保证市场秩序稳定;科学调配物资,做好灾区群众生活保障,提供食品、饮用水、燃料等生活必需品,满足基本生活需要。
由区工业和信息化局(区商务局)牵头,区发展改革局、区市场监管局等部门单位参与。
(6)卫生防疫组。负责指导灾区做好医疗救治、疾病预防控制和病死畜禽无害化处理等工作;加强受灾群众心理疏导,畅通受灾群众诉求渠道;及时组派卫生应急专家和队伍,做好灾区医疗卫生工作;强化灾区疫情监测,开展风险评估,及时提出防控工作建议;根据工作需要组建卫生应急现场指挥部,统一指挥防汛抗旱救灾医疗卫生相关工作,必要时向上级卫生行政部门请求派出专家组指导工作。
由区卫生健康局牵头,区农业农村局、区市场监管局、济南市第八人民医院、区人民医院等部门单位参与。
(7)情况报告组。负责统筹各街道(功能区)、各有关部门单位值班、信息报送等工作力量,及时调度全区雨情、旱情、水情、汛情、风情以及抢险救灾、险情应对等工作情况,密切跟踪重点街道(功能区)雨情、旱情、水情、汛情、风情、工情和抢险救灾有关情况,发生突发险情、灾情的,第一时间报告区委、区政府和区防指办公室、区抢险救灾指挥部;及时向市委办公厅、市政府办公厅、市防汛抗旱指挥部、市抢险救灾指挥部、市应急局、市水务局等部门报告全区抢险救灾工作情况。
由区委办公室牵头,区政府办公室、区水务局、区应急局等部门单位参与。
(8)维护稳定组。负责加强社会面管控,实施高等级巡防机制,提高路面见警率;有序排查各类安全隐患,及时为受灾群众提供帮助,全力做好抗灾救援工作;协助做好舆情应对,严防发生涉灾重大网络舆情负面炒作事件;加强灾区交通管理,保障道路安全畅通;强化涉灾重点个人、群体的动态管控,排查化解矛盾纠纷;严厉打击涉灾违法犯罪行为,保障灾区社会稳定。
由市公安局钢城区分局牵头,区应急局等部门单位参与。
(9)新闻宣传组。负责组织新闻媒体大力宣传抢险救灾决策部署和工作措施,定期协调有关部门单位发布灾情和救灾情况,及时回应社会关切,严厉打击恶意炒作;对干部群众在抢险救灾工作中的感人事迹加大宣传力度,营造一方有难、八方支援、共克难关的良好氛围。
由区委宣传部牵头,区文化和旅游局、区应急局、市公安局钢城区分局等部门单位参与。
(10)专家会商组。负责及时调度掌握雨情、旱情、水情、工情、险情、灾情;组织水务、气象、建筑、安全等方面专家研判灾情形势,提出科学有效的抢险救灾意见和建议。
由区应急局牵头,区工业和信息化局、区自然资源局、区住房城乡建设局、区水务局等部门单位参与。
工作组实行组长负责制,牵头部门可根据工作需要增减参与部门,原则上实行集中办公。工作组要加强沟通协调、信息共享。各有关部门单位要密切配合、团结一致,全力打好抢险救灾硬仗。
各街道(功能区)可参照成立本级抢险救灾指挥部。
2.3 街道(功能区)防汛抗旱指挥机构
各街道(功能区)防汛抗旱指挥机构,在区防汛抗旱指挥部和街道(功能区)党工委、办事处(管委会)领导下,贯彻执行国家防汛抗旱方面的法律法规和上级决定、命令,组织、监督、协调、指挥本辖区防汛抗旱工作。
2.4 其他防汛抗旱指挥机构
有防汛抗旱任务的单位可根据需要和机构设置的要求设立相关组织机构,负责本单位防汛抗旱工作。
2.5 会商机制
区防指办公室应当根据汛情旱情演变,组织相关专家和成员单位研究预测汛情旱情发展趋势,分析对经济社会发展的影响,制订防汛抗旱抢险救灾、人员救助等工作方案,为区防指和各级领导提供决策依据。会商可采取视频会商、会议会商及现场会商等形式。
3 应急准备
3.1 明确责任
各街道(功能区)要强化属地管理责任,结合实际健全完善防汛抗旱指挥机构,优化设置防汛抗旱指挥部办公室,进一步提升专业水平,构建指挥顺畅、运转高效的防汛抗旱指挥机制。
要逐级严格落实防汛抗旱责任,压实行业部门和相关企事业、工程管理单位防汛抗旱责任,压紧巡查值守、预警发布、转移避险安置等重点环节防汛抗旱责任。各级防指应当公布防汛抗旱责任人。有防汛抗旱任务的部门单位要明确本部门单位责任人。各级各有关部门单位要落实河道重要堤防、险工险段、水库、重点城区、山洪、地质灾害、重要设施防汛责任人,健全横向到边、纵向到底的责任体系。各级防汛抗旱责任人必须按要求履行防汛抗旱职责,入汛后不得擅自离岗,必须24小时保持联络畅通,防汛抗旱关键期必须加强值班值守。
3.2 工程准备
各级各有关部门单位应当按照区级以上政府有关规划要求推进各类防汛抗旱等工程建设及城区排水除涝能力建设,指导和监督工程管理单位做好日常管护,确保工程正常运行、安全度汛、安全供水。
3.3 预案准备
各级防指及有关部门单位应当及时修订完善防汛抗旱应急预案、各类河道防御洪水方案、水库汛期调度运用计划和防御洪水方案、城区防汛应急预案、山洪灾害防御预案和部门防汛抗旱相关预案等各类防汛抗旱预(方)案,按规定报批并组织实施。按照“一流域一案、一街道(功能区)一案、一社区(村)一案、一行业一案”要求,做好防汛抗旱预案编制(修订)工作,形成全区防汛抗旱应急预案体系。
区应急局负责编制(修订)济南市钢城区防汛抗旱应急预案;区水务局负责编制(修订)骨干河道防御洪水方案(包含超标准洪水防御预案)、区属中型水库防御洪水方案运用方案、建成区排水防涝预案、山洪灾害防御预案;区消防救援大队负责编制(修订)济南市钢城区洪涝灾害应急救援预案;国网莱芜供电公司钢城供电中心负责编制(修订)济南市钢城区防汛抗旱电力保障应急预案;区工业和信息化局负责编制(修订)济南市钢城区防汛通信保障应急预案。其他相关行业、部门防汛抗旱应急预案由行业主管部门负责编制(修订)。街道(功能区)防指组织编制(修订)辖区防汛抗旱等相关预案。
3.4 物资队伍准备
按照《山东省人民政府办公厅关于建立健全应急救援力量联调联战工作机制的实施意见》(鲁政办字〔2020〕15号)要求,结合本地实际,做好应急救援联调联战工作,建立完善人民武装参与抢险救灾的应急协调机制。
各级防汛抗旱指挥部及有关成员单位要按照应急物资保障体系建设有关要求和防汛抗旱抢险救灾工作需要,按照分级储备、分级管理和分级负担的原则,做好防汛抗旱物资储备工作。
工程管理单位应当组建专(兼)职抢险队伍,按需配备工程抢险装备器材,承担巡查、险情应急处置等任务。
街道(功能区)、社区(村)应当积极组织群众参加抗洪抗旱救灾。
3.5 转移安置准备
按照属地管理原则,各街道(功能区)负责本辖区人员转移工作,应当提前明确应急避难场所并及时向社会公告,部署转移安置各项准备工作,相关补助经费纳入本级财政预算,并组织、督促、指导社区(村)实施人员转移工作。
各街道(功能区)、社区(村)和相关单位应当编制人员转移方案,明确转移安置工作流程、转移线路、集中安置点和各环节的责任单位及责任人。统计管辖范围内需转移人员数量和实际转移人员数量,针对可能受洪涝灾害影响区域的人员设立台账,建立档案,确定转移避险路线、交通工具、安置地点,落实转移安置保障措施,并组织开展人员转移演练工作。
3.6 救灾救助准备
各部门单位完善政府救助、保险保障、社会救济、自救互救“四位一体”的自然灾害救助机制,提升灾害救助水平,帮助受灾群众快速恢复生产生活,避免因灾返贫、因灾致贫,维护社会和谐稳定。建立灾害民生综合保险制度,充分发挥保险机制在减灾救灾中的作用。
3.7 防汛抗旱检查
各级防指应当结合实际,组织有关部门单位、企事业单位对防汛抗旱安全隐患、薄弱环节等风险源实施排查梳理,分类施策,采取监控、巡查、清除等有针对性的应对措施。防汛抗旱检查采取单位自查、行业检查、综合检查等方式,针对责任落实、机制建立、工程设施建设管护、预案编制、应急演练、物资保障、队伍建设、值班值守、人员转移避险等方面排查安全隐患和薄弱环节,落实整改措施,确保防汛抗旱工作顺利开展。
3.8 技术准备
自然资源、住房城乡建设、交通运输、水务、农业农村、应急管理等有关部门单位要加强专家力量建设,强化防汛抗旱技术支撑,及时提出工作建议,按照区防指部署要求参与检查督导、抢险救援、抗旱救灾、调查评估和人员培训等工作。
各级防指应不断完善应急指挥调度系统等平台建设,加强防汛抗旱信息资源共享,积极运用大数据、云计算、地理信息等新技术新方法提高灾害信息获取、预报预测、风险评估、应急保障能力,统筹专业技术力量,服务防汛抗旱救灾工作。
3.9 宣传培训
有关部门单位要协调新闻媒体,开展防汛抗旱社会宣传,提高群众避险自救能力和防灾减灾意识。区、街道(功能区)或防指应当对区、街道(功能区)行政首长开展防汛抗旱培训,提高领导干部防汛抗旱应急处置能力。各街道(功能区)要加强对社区(村)防汛抗旱责任人的培训。
4 监测预警
4.1 监测
各有关部门单位根据自身职责,及时收集、分析、上报本部门单位或本行业有关气象、雨情、旱情、水情、工情、险情、灾情等信息。
4.1.1 气象信息
区水务局与市气象部门建立联系,联合气象部门建立预警信号传播联动机制,根据区防指要求,做好临近短时预报。
4.1.2 水文信息
区水务局接收、转发莱芜水文中心发布的水库、河道等水文站点监测信息,及时提供全区雨情,预测水情等信息,根据洪水预报提出建议措施。
4.1.3 工情信息
区自然资源局及时提供地质灾害相关信息。区水务局及时提供水库、河道、排水管网等工情信息。区昌源水务集团有限公司及时提供各类水源供水工程工情信息。其他成员单位按照各自职责做好相关工情信息监测并及时报告。各街道(功能区)防指及时提供辖区内各类工情信息。
4.1.4 洪涝灾害信息
洪涝灾害信息主要包括灾害发生的时间、地点、范围、灾情发展趋势、财产损失、人员伤亡等情况。洪涝灾害发生后,有关部门单位要按照规定,及时收集灾情,全面掌握受灾情况,及时报送区政府和区防指,并跟踪核实上报,为抗灾救灾提供准确信息。
4.1.5 旱情信息
旱情信息监测内容主要包括:雨情、水情、土壤墒情,干旱发生的时间、地点、程度、受旱范围、影响人口以及对城乡生活、工农业生产、生态环境等方面造成的影响。
各级防指办公室要及时准确收集旱情信息,掌握雨水情变化、当地蓄水情况、农田土壤墒情和城乡供水情况,加强旱情监测。
4.2 预警
各有关部门单位应建立预警信息报送、发布制度,督促、提醒相关企业、单位、公众做好防汛抗旱准备。区防指办公室及时分析研判全区防汛抗旱形势,提出预警、应急响应建议。
4.2.1 部门预警
4.2.1.1 暴雨预警
根据市气象部门发布的降雨和短临预报预警,暴雨预报预警区内各有关部门单位应当加快部署防范应对工作,结合行业风险特点,提出本系统风险管控要求并督促落实;有关街道(功能区)应当根据防汛抗旱工作实际,加强监测预警,落实落细防范措施,紧盯山洪、地质灾害易发区、城乡易涝区、工程薄弱段等重点部位和薄弱环节,视情报请区委、区政府提前采取停课、停工、停业、停运、停产措施,果断组织转移危险区群众,先期处置突发险情,全力确保人民群众生命财产安全。
4.2.1.2 洪水预警
发生强降雨,主要行洪河道、水库出现涨水情形时,区水务局积极做好同莱芜水文中心的沟通,做好洪水预报工作,及时向本级防指和有关部门单位报告水位、流量实测情况和洪水变化趋势,并及时发布预警信息。
河道达到警戒水位或警戒流量并预报继续上涨,或者中型水库达到防洪高水位(或允许壅高水位)或小型水库接近设计水位(或达到警戒水位)并预报继续上涨的,区水务局将洪水预警及时上报本级防指。区应急局按照部署要求,指导有关部门单位提前组建抢险队伍,预置抢险物资,开展巡查值守,做好应急抢险和人员转移准备。
4.2.1.3 山洪、地质灾害预警
区水务局、区自然资源局提高预报水平,及时发布预报警报。山洪、地质灾害防治区内街道(功能区)应当根据山洪、地质灾害成因和特点,主动采取预防、预警和避险措施,及时组织群众转移避险。
4.2.1.4 台风预警
区水务局要密切关注市气象部门发布的台风动向、未来趋势预报,及时将台风(含热带风暴、热带低压)中心位置、强度、移动方向和速度等信息报区政府和区防指。预报受台风影响区域应迅速做好防台风工作。有关街道(功能区)和部门单位要加强对建设工地、危房、仓库、交通道路、电信电缆、电力电线、户外广告牌等公用设施的检查加固,做好危险区域人员转移安置工作。
4.2.1.5 干旱预警
区水务局、区农业农村局要及时掌握旱情,按照职责适时发布干旱预警。预计因旱供水水源短缺出现供水危机时,供水部门单位要及时向区政府和区防指报告,通知用水单位、个人做好节水、储备应急用水的准备。
4.2.2 区防指预警
4.2.2.1 区防指汛情预警级别
汛情预警由低到高划分为一般(蓝色)、较重(黄色)、严重(橙色)、特别严重(红色)四个级别。
4.2.2.2 预警范围及内容
预警范围为全区行政区域或相关行政区域。
预警内容主要包括预警级别、起始时间、影响范围等。
4.2.2.3 预警发布、解除权限
汛情蓝色预警:区防指副指挥签发。
汛情黄色预警:区防指副指挥签发。
汛情橙色预警:区防指常务副指挥或者委托副指挥签发。
汛情红色预警:区防指指挥或者委托常务副指挥签发。
根据汛情变化,区防指办公室及时提出汛情预警解除建议,按程序解除。
4.2.2.4 预警发布条件
(1)汛情蓝色预警
当符合下列条件之一时,发布汛情蓝色预警:
市气象局发布暴雨蓝色预警天气预报;
预计大汶河发生达到距警戒水位0.5米洪水,且水位可能继续上涨;
预计城区河道水位发生达到警戒水位洪水,可能呈继续上涨趋势;
预计城区主干道路、低洼地区可能出现积水或出现道路行洪现象;
其他需要发布预警的情况。
(2)汛情黄色预警
当符合下列条件之一时可发布汛情黄色预警:
市气象局发布暴雨黄色预警天气预报;
预计大汶河发生达到警戒水位洪水,且水位可能继续上涨;
预计城区河道水位发生达到保证水位洪水,且呈继续上涨趋势;
预计城区主干道路、低洼地区可能积水或道路行洪影响车辆、行人通行;
其他需要发布预警的情况。
(3)汛情橙色预警
当符合下列条件之一时可发布汛情橙色预警:
市气象局发布暴雨橙色预警天气预报;
预计大汶河发生接近保证水位洪水且水位可能继续上涨;
预计区级河道可能发生接近保证水位洪水或中型水库水位临近最高允许壅高水位, 可能发生重大险情,威胁工程及人民群众生命财产安全;
预计城区部分河道可能出现漫溢;
预计城区低洼地区可能出现较重积水,危及车辆、行人安全,威胁人民群众生命财产安全;
预计城区可能发生洪涝灾害, 出现道路行洪、道路积水,造成城区主干道交通瘫痪;
其他需要发布预警的情况。
(4)汛情红色预警
当符合下列条件之一时可发布汛情红色预警:
市气象局发布暴雨红色预警天气预报;
预计大汶河发生超过保证水位洪水,且水位可能继续上涨;
预计区级河道可能发生超出现状防洪能力的洪水或中型水库水位临近警戒水位, 可能发生特别重大险情,严重威胁大坝工程及人民群众生命财产安全;
预计城区可能发生严重洪涝灾害, 出现严重道路行洪、道路积水,造成城区大面积交通瘫痪;
预计城区低洼地区可能发生严重洪涝灾害,严重威胁人民群众生命财产安全;
山洪易发区前期土壤含水量已饱和,预计将要发生山体坍塌、泥石流等山洪地质灾害;
其他需要发布预警的情况。
4.2.2.5 抗旱预警
区防指根据干旱预警,结合雨情、水情、墒情、气象等条件,及时组织会商分析,综合研判旱情发展趋势,针对即将发生的农作物受旱、人畜饮水困难、城镇供水水源短缺等情况,发布抗旱预警。
抗旱预警启动后,各级防指和相关防指成员单位要根据各自职责分工组织做好抗旱应对准备工作。旱区防指密切关注天气变化,加强旱情监测分析,优化抗旱水源调配,科学编制供水计划,强化节水宣传,切实做好抗旱应对准备工作。
4.2.2.6 区防指旱情预警级别
旱情预警由低到高划分为一般(蓝色)、较重(黄色)、严重(橙色)、特别严重(红色)四个级别。
4.2.2.7 旱情预警范围及内容
旱情预警范围为全区行政区域或相关行政区域。
旱情预警内容主要包括预警级别、起始时间、影响范围等。
4.2.2.8 旱情预警发布、解除权限
旱情蓝色预警:区防指副指挥签发。
旱情黄色预警:区防指副指挥签发。
旱情橙色预警:区防指常务副指挥或者委托副指挥签发。
旱情红色预警:区防指指挥或者委托常务副指挥签发。
根据旱情变化,区防指办公室及时提出旱情预警解除建议,按程序解除。
4.2.2.9 旱情预警发布条件
(1)旱情蓝色预警
当符合下列条件之一时,发布汛情蓝色预警:
农作物受旱面积1.33万~2.66万亩;
区域农业旱情指数0.1≤Ia<0.6;(见11.1名词术语定义)
农作物生长期内连续无有效降雨的天数春秋季15~30天,夏季10~20天,冬季20~30天;
山丘区因旱临时性饮水困难人口0.5万~1万人;
两个以上街道(功能区)同时发生轻度干旱;
5%<城区干旱缺水率≤10%,出现缺水现象,城区生活、生产用水受到一定程度影响。
(2)旱情黄色预警
当符合下列条件之一时可发布旱情黄色预警:
农作物受旱面积2.66万~4.25万亩;
区域农业旱情指数0.6≤Ia<1.2;(见11.1名词术语定义)
农作物生长期内连续无有效降雨的天数春秋季31~50天,夏季21~30天,冬季31~60天;
山丘区因旱临时性饮水困难人口1万~3万人;
两个以上街道(功能区)同时发生中度干旱;
10%<城区干旱缺水率≤20%,出现明显缺水现象,城区生活、生产用水受到较大影响。
(3)旱情橙色预警
当符合下列条件之一时可发布旱情橙色预警:
农作物受旱面积4.25万~6.92万亩;
区域农业旱情指数1.2≤Ia<2.1;(见11.1名词术语定义)
农作物生长期内连续无有效降雨的天数春秋季51~75天,夏季在30~50天,冬季在61~80天;
山丘区因旱临时性饮水困难人口3万~5万人;
两个以上街道(功能区)同时发生严重干旱;
20%<城区干旱缺水率≤30%,出现严重缺水现象,城区生活、生产用水受到严重影响。
(4)旱情红色预警
当符合下列条件之一时可发布旱情红色预警:
农作物受旱面积6.92万亩以上;
区域农业旱情指数2.1≤Ia≤4;(见11.1名词术语定义)
农作物生长期内连续无有效降雨的天数春秋季在75天以上,夏季在50天以上,冬季在80天以上;
山丘区因旱临时性饮水困难人口5万人以上;
两个以上街道(功能区)同时发生特大干旱;
城区干旱缺水率>30%,出现极为严重的缺水局面或发生供水危机,城区生活、生产用水受到极大影响。
4.2.2.10 预警程序
(1)预警发布
区水务局收集、汇总预警预报等基础信息,分析全区防汛形势,经会商研判后,向区防指提出汛情预警建议,并及时发布汛情预警。
区防指成员单位及时转发并发布相应汛情预警信息。
(2)预警等级调整
当预警条件发生变化时,区防指办公室及时提出预警等级调整建议,并按程序发布。
(3)预警解除
根据汛情变化,区防指办公室及时提出汛情预警解除建议,按程序解除。
4.2.2.11 预警响应
(1)汛情四级预警行动(蓝色)
区防指办公室加强值守,及时汇总、发布各类汛情信息,调度各街道(功能区)防指、区防指成员单位有关负责同志和相关人员到岗到位情况,密切监控降雨和汛情演变,及时向区防指汇报。
区防指成员单位按照职责分工,做好启动防汛四级应急响应相关准备,部署本行业防汛工作,及时向区防指办公室报告情况。
区水务局及时接收市气象部门发布的天气及汛情变化,转发并上报区防指办公室。
区委宣传部联系相关媒体播报汛情预警信息。
街道(功能区)防指具体安排部署本辖区防汛工作,加强调度、监测、巡查和值守,重要情况及时上报。
(2)汛情三级预警行动(黄色)
区防指办公室加强值守、调度,及时汇总、发布各类汛情信息,密切监控降雨和汛情演变,及时向区防指汇报。适时派出督导组赴一线检查督导防汛工作,做好区级抢险队伍、物资调运等准备。
区防指成员单位按照职责分工,做好启动防汛三级应急响应相关准备,部署本行业防汛工作,采取相应应对措施,及时向区防指办公室报告情况。
区水务局及时接收市气象部门发布的天气及汛情变化,转发并上报区防指办公室。
区委宣传部联系相关媒体播报汛情预警信息。
街道(功能区)防指具体安排部署本辖区防汛工作,加强调度、监测、巡查和值守,做好易积水区域排水救援设备预置工作,重要情况及时上报。
(3)汛情二级预警行动(橙色)
区防指办公室加强值守、调度,及时汇总、发布各类汛情信息,密切监控降雨和汛情演变,及时向区防指汇报,提出应对措施建议。适时派出督导组赴一线检查督导防汛工作,加强重点防洪工程的实时调度,充分做好区级抢险队伍、物资调运等准备工作,并将有关情况及时通报区人武部、区消防救援大队等,做好抢险救灾准备。
区防指成员单位按照职责分工,做好启动防汛二级应急响应的相关准备,主要负责同志部署本行业防汛工作,采取相应应对措施,适时派出行业工作组赴一线指导防汛工作,及时向区防指办公室报告情况。
区水务局及时接收市气象部门发布的天气及汛情变化,转发并上报区防指办公室。
区委宣传部联系相关媒体播报汛情预警信息。
街道(功能区)防指具体安排部署本辖区防汛工作,主要负责同志靠前指挥。防汛抢险队伍集结待命,做好易积水区域排水救援设备预置、群众安全转移等准备工作。重要情况及时上报区防指办公室。
(4)汛情一级预警行动(红色)
区防指办公室加强值守、调度,密切监控降雨和汛情演变,及时汇总、发布各类汛情信息,及时向区防指建议提前采取停工、停学、停业、停运措施。派出督导组赴一线指导防汛工作,现场督促检查重要防洪工程调度、人员转移、抢险救灾等落实情况,防汛抢险队伍集结待命,抢险物资、设备装车待运,并将有关情况及时通报区人武部、市公安局钢城区分局、区消防救援大队等,做好抢险救灾准备。
区防指成员单位按照职责分工,做好启动防汛一级应急响应各项准备,主要负责同志部署本行业防汛工作,采取相应应对措施,派出行业工作组赴一线督导防汛工作,及时向区防指办公室报告情况。
区水务局及时接收市气象部门发布的天气及汛情变化,转发并上报区防指办公室。
区委宣传部联系相关媒体播报汛情预警信息。
街道(功能区)防指具体安排部署本辖区防汛工作,主要负责同志靠前指挥。防汛抢险队伍集结待命,做好易积水区域排水救援设备预置、群众安全转移等准备工作。重要情况及时上报区防指办公室。
(5)旱情四级预警行动
区防指办公室加强值守,及时汇总、发布各类旱情信息,调度各街道(功能区)防指、区防指成员单位有关负责同志和相关人员到岗到位情况,密切监控旱情情演变,及时向区防指汇报。
区防指成员单位按照职责分工,做好启动旱情四级应急响应相关准备,部署本行业抗旱工作,及时向区防指办公室报告情况。
区水务局及时接收市气象部门发布的天气预报信息,转发并上报区防指办公室。
区农业农村局密切关注农业农村旱情变化情况,及时上报区防指办公室。
区委宣传部联系相关媒体播报旱情预警信息。
街道(功能区)防指具体安排部署本辖区防汛抗旱工作,加强调度、监测、巡查和值守,重要情况及时上报。
(6)旱情三级预警行动
区防指办公室加强值守,及时汇总、发布各类旱情信息,调度各街道(功能区)防指、区防指成员单位有关负责同志和相关人员到岗到位情况,密切监控旱情情演变,及时向区防指汇报。适时派出督导组赴一线检查督导抗旱工作,做好区级抗旱救灾队伍、物资调运等准备。
区防指成员单位按照职责分工,做好启动旱情三级应急响应相关准备,部署本行业防汛工作,及时向区防指办公室报告情况。
区水务局及时接收市气象部门发布的天气预报信息,转发并上报区防指办公室。
区农业农村局密切关注农业农村旱情变化情况,及时上报区防指办公室。
区委宣传部联系相关媒体播报旱情预警信息。
街道(功能区)防指具体安排部署本辖区抗旱工作,加强调度、监测、巡查和值守,重要情况及时上报。
(7)旱情二级预警行动
区防指办公室加强值守、调度,及时汇总、发布各类旱情信息,密切监控旱情情况演变,及时向区防指汇报,提出应对措施建议。适时派出督导组赴一线检查督导抗旱工作,充分做好区级抗旱救灾队伍、物资调运等准备工作,并将有关情况及时通报区人武部、区消防救援大队等,做好抗旱救灾准备。
区防指成员单位按照职责分工,做好启动旱情二级应急响应的相关准备,主要负责同志部署本行业抗旱工作,采取相应应对措施,适时派出行业工作组赴一线指导抗旱工作,及时向区防指办公室报告情况。
区水务局及时接收市气象部门发布的天气预报信息,转发并上报区防指办公室。
区农业农村局密切关注农业农村旱情变化情况,及时上报区防指办公室。
区委宣传部联系相关媒体播报旱情预警信息。
街道(功能区)防指具体安排部署本辖区抗旱工作,主要负责同志靠前指挥。抗旱救灾队伍集结待命,做好干旱受灾区域供水设备预置等准备工作。重要情况及时上报区防指办公室。
(8)旱情一级预警行动
区防指办公室加强值守、调度,及时汇总、发布各类旱情信息,密切监控旱情情况演变,及时向区防指汇报,提出应对措施建议。派出督导组赴一线指导抗旱工作,现场督促检查重要抗旱工程调度等落实情况,抗旱救灾队伍集结待命,救灾物资、设备装车待运,并将有关情况及时通报区人武部、市公安局钢城区分局、区消防救援大队等,做好抗旱救灾准备。
区防指成员单位按照职责分工,做好启动抗旱一级应急响应各项准备,主要负责同志部署本行业抗旱工作,采取相应应对措施,派出行业工作组赴一线督导抗旱救灾工作,及时向区防指办公室报告情况。
区水务局及时接收市气象部门发布的天气预报信息,转发并上报区防指办公室。
区农业农村局密切关注农业农村旱情变化情况,及时上报区防指办公室。
区委宣传部联系相关媒体播报旱情预警信息。
街道(功能区)防指具体安排部署本辖区抗旱工作,主要负责同志靠前指挥。抗旱救灾队伍集结待命,做好干旱受灾区域供水设备预置等准备工作。重要情况及时上报区防指办公室。
5 应急响应
根据汛情变化、暴雨、大中型河道洪水流量、城区低洼地段积水、山洪等险情、干旱严重程度以及防御能力等综合因素,确定防汛抗旱响应级别。由低到高划分为一般(四级)、较重(三级)、严重(二级)、特别严重(一级)4个响应级别。
由区防指根据汛情旱情预警及工情、险情、灾情等情况启动应急响应。
对符合防汛抗旱应急响应启动条件的,相关部门单位和灾害影响地区防指应按照预案先行启动响应,组织抢险救灾,并同时报告同级党工委、办事处(管委会)和区防指。区防指相关部门单位和各街道(功能区)防指启动或调整应急响应,应与区防指响应等级相衔接,灾害主要影响地区应急响应等级不得低于区级。
5.1 四级应急响应
5.1.1 启动条件
5.1.1.1 符合以下条件之一的,启动防汛四级应急响应:
(1)大汶河达到距警戒水位0.5米,且水位继续上涨;
(2)区级河道、堤防发生局部滑坡、管涌;中型水库水位局部发生滑坡、管涌等险情;
(3)城区河道水位达到警戒水位,呈继续上涨趋势;
(4)城区主干道路、低洼地区出现积水或出现道路行洪现象;
(5)2个街道(功能区)发生一般或以上洪涝灾害。
5.1.1.2 符合以下条件之一的,启动抗旱四级应急响应:
(1)农作物受旱面积1.33万~2.66万亩;
(2)区域农业旱情指数0.1≤Ia<0.6;
(3)农作物生长期内连续无有效降雨的天数春秋季15~30天,夏季10~20天,冬季20~30天;
(4)山丘区因旱临时性饮水困难人口0.5万~1万人;
(5)两个以上街道(功能区)同时发生轻度干旱;
(6)5%<城区干旱缺水率≤10%,出现缺水现象,城区生活、生产用水受到一定程度影响。
5.1.2 响应行动
(1)区防指副指挥签署启动四级应急响应命令,适时组织有关部门单位研究分析汛情旱情可能影响情况以及防御重点和对策,部署有关工作。
(2)区防指办公室组织有关部门单位联合值班值守,密切监视汛情旱情发展变化,加强值班调度,及时传达领导指示和汛情旱情信息。
(3)区防指成员单位分管负责人到岗到位,按照职责分工,做好防汛抗旱工作,协同做好应急处置工作,相关情况及时上报区防指。
(4)行业主管部门督促、指导落实本行业防御措施,开展隐患巡查工作,组织行业督导检查,统计、核实并按规定报送行业受灾情况。
(5)自然资源、水务等部门加强监测预报预警及信息发布。
(6)公安、发展改革、住房城乡建设、交通运输、水务、卫生健康、应急、工业和信息化、电力等部门协调做好社会安全、防汛抗旱救灾车辆、供水、卫生防疫、通信、电力、油气等方面应急保障工作。
(7)抢险救援力量提前向可能受影响地区预置队伍和装备,视情开展抢险救援。
(8)根据险情发展需要和街道(功能区)请求,应急、消防救援部门统筹全区应急救援力量,协助地方开展抗洪抢险、抗旱救灾、应急救援救灾等应急处置。视情协调民兵参与应急处置。
(9)水务等部门做好防洪工程调度。应急部门统一做好灾情信息发布,并根据街道(功能区)请求,会同水务等有关部门单位调拨防汛抗旱物资。
(10)加强水资源统一管理,做到开源与节流并举,合理调配水资源。地表水相对贫乏的地区,在降低5%的灌溉定额的同时,通过开采地下水等措施尽可能满足需水要求。
(11)相关街道(功能区)防指指挥及时到岗到位,靠前指挥,组织开展防汛应急处置、抗旱救灾工作。各有关部门单位组织做好防洪工程调度、防汛抢险救灾、抗旱救灾、人员避险转移安置等工作,相关情况及时上报区防指。
5.2 三级应急响应
5.2.1 启动条件
5.2.1.1 符合以下条件之一的,启动防汛三级应急响应:
(1)大汶河达到警戒水位,且水位可能继续上涨;
(2)重要塘坝溃坝;2座以上小(二)型水库同时发生重大险情;区级河道、堤防发生较大范围滑坡、管涌,威胁堤防安全;中型水库大坝局部发生较大范围滑坡、管涌等险情,威胁大坝安全;
(3)城区河道水位达到保证水位,且呈继续上涨趋势;
(4)城区主干道路、低洼地区积水或道路行洪影响车辆、行人通行及人民群众生命财产安全;
(5)2个街道(功能区)发生较大或以上洪涝灾害。
5.2.1.2 符合以下条件之一的,启动抗旱三级应急响应:
(1)农作物受旱面积2.66万~4.25万亩;
(2)区域农业旱情指数0.6≤Ia<1.2;
(3)农作物生长期内连续无有效降雨的天数春秋季31~50天,夏季21~30天,冬季31~60天;
(4)山丘区因旱临时性饮水困难人口1万~3万人;
(5)两个以上街道(功能区)同时发生中度干旱;
(6)10%<城区干旱缺水率≤20%,出现明显缺水现象,城区生活、生产用水受到较大影响。
5.2.2 响应行动
(1)区防指副指挥签署启动三级应急响应命令,适时组织有关部门单位研究分析汛情旱情可能影响情况以及防御重点和对策,部署有关工作。
(2)区防指办公室组织有关部门单位联合值班值守,密切监视汛情旱情发展趋势和水情、雨情、工情,及时将汛情旱情信息报告区防指,传达领导指示、汛情旱情信息,通过新闻媒体发布汛情旱情通报。
(3)区防指派出工作组和专家组,指导相关街道(功能区)做好防汛抗旱工作。
(4)区防指成员单位分管负责人到岗到位,密切关注汛情、旱情、险情、灾情发展变化,按照职责分工,做好防汛抗旱工作,相关情况及时上报区防指。
(5)行业主管(监管)部门加强隐患排查工作,强化防御措施的落实和检查;组织行业抢险队伍做好抢险救援,开展抢险救灾工作;统计、核实并按规定报送行业受灾情况。
(6)自然资源、水务等部门加强监测预报预警及信息发布。水务、应急、消防救援等部门做好救援、抢险、排涝力量物资预置工作,随时待命赴灾区增援。
(7)公安、发展改革、住房城乡建设、交通运输、水务、卫生健康、应急、工业和信息化、电力等部门协调做好社会安全、防汛抗旱救灾车辆、供水、卫生防疫、通信、电力、油气等方面应急保障工作。
(8)抢险救援力量协助受影响地区开展抢险突击、群众疏散转移等工作。
(9)根据汛情、旱情、险情发展需要和街道(功能区)请求,应急、消防救援部门统筹全区应急救援力量开展应急救援救灾工作,实施受灾群众生活救助,协调民兵参与应急处置。
(10)水务部门做好防洪工程调度。根据街道(功能区)请求,应急部门协同调拨防汛抗旱物资。
(11)加强水资源统一管理,做到开源与节流并举,合理调配水资源。地表水相对贫乏的地区,在降低10%灌溉定额的同时,通过打井、开采地下水、补充地表水、节水灌溉等措施尽可能满足需水要求。
(12)相关街道(功能区)防指指挥到岗到位,积极开展防汛应急处置、抗旱救灾工作。各有关防汛抗旱责任人在岗在位,靠前指挥,组织做好防汛应急处置、抗旱救灾工作。对重要堤防、重点工程实施加密巡查,出现险情及时抢护,提前向下游和左右岸受威胁地区发出预警,相关情况及时上报区防指。
(13)视情请求市防指在专家、队伍、装备、物资等方面给予支援。
5.3 二级应急响应
5.3.1 启动条件
5.3.1.1 符合以下条件之一的,启动防汛二级应急响应:
(1)大汶河达到保证水位,且水位继续上涨;
(2)小(二)型水库溃坝;2座以上小(一)型水库同时发生重大险情;区级河道和防洪工程设施发生重大险情,造成溃堤、决口、倒闸;中型水库防洪工程设施、设备发生重大险情,危及大坝安全和威胁人民生命财产安全;
(3)城区部分河道出现漫溢;
(4)城区低洼地区积水较重,危及车辆、行人安全;
(5)城区发生洪涝灾害,出现道路行洪、道路积水,造成城区主干道交通瘫痪;
(6)2个街道(功能区)发生严重或以上洪涝灾害。
5.3.1.2 符合以下条件之一的,启动抗旱二级应急响应:
(1)农作物受旱面积4.25万~6.92万亩;
(2)区域农业旱情指数1.2≤Ia<2.1;
(3)农作物生长期内连续无有效降雨的天数春秋季51~75天,夏季在30~50天,冬季在61~80天;
(4)山丘区因旱临时性饮水困难人口3万~5万人;
(5)两个以上街道(功能区)同时发生严重干旱;
(6)20%<城区干旱缺水率≤30%,出现严重缺水现象,城区生活、生产用水受到严重影响。
5.3.2 响应行动
(1)区防指常务副指挥或委托副指挥签署启动二级应急响应命令,组织有关部门单位部署防汛抢险救灾、抗旱救灾工作,有关情况及时报告区委、区政府和市防指。
(2)区防指办公室组织有关部门单位联合值班值守,密切监视汛情旱情发展情况,收集汇总分析雨情、水情、工情、险情、灾情信息,组织会商分析形势,制定应对措施,及时向区防指报告,按规定在新闻媒体上发布汛情旱情通报。
(3)区防指按照灾害类别,派出由有关部门单位、专家组成的工作组和专家组,指导相关街道(功能区)做好防汛抗旱工作,并视情建议区委、区政府成立抢险救灾指挥部和前线指挥部。
当发生河道、水库重大险情和严重山洪灾害时,区水务局做好专家技术支撑工作,区防指办公室协调做好抢险队伍和物资保障。区工业和信息化局做好通信保障。
当发生重大地质灾害时,区自然资源局做好专家技术支撑工作,区防指办公室协调做好抢险队伍和物资保障。区工业和信息化局做好通信保障。
当发生严重城区内涝时,区水务局做好内涝排水的专家技术支撑工作,区防指办公室协调做好抢险队伍和物资保障。区工业和信息化局做好通信保障。
当发生干旱灾害时,区水务局、区农业农村局做好专家技术支撑工作,区防指办公室协调做好抢险队伍和物资保障。区工业和信息化局做好通信保障。
当其他重要基础设施发生重大险情时,行业主管部门做好专家技术支撑工作,区防指办公室协调做好抢险队伍和物资保障。区工业和信息化局做好通信保障。
(4)区防指成员单位主要负责人到岗到位,加强值守,相关情况及时上报区防指。
(5)区防指成员单位按照职责分工做好相关工作,调配资源,全力做好抢险救灾和应急保障工作,及时查灾核灾,按规定续报受灾情况,工作情况按要求上报区防指,重要情况第一时间上报。
(6)自然资源、水务等部门加强监测预报预警及信息发布。水务、应急、消防救援等部门增调救援、抢险、排涝力量物资,及时赶赴灾区增援。
(7)各主管部门按照职责分工,广泛调动资源,协调各方力量,全力做好抢险救灾、抗旱救灾和应急保障工作。
公安部门组织做好灾区治安管理和防汛抢险时的警戒、安全保卫工作,实施必要的交通管控,及时疏导车辆、行人。引导抢险救援、抗旱救灾车辆有序快速通行。
交通运输部门组织做好防汛抗旱物资运输、抢险救援、抗旱救灾力量投送、大规模滞留人员疏散、转移和受损公路、铁路、桥梁抢修。做好公交站、客运站防涝排水和公交车、出租车紧急避险。
工业和信息化部门组织电信运营企业,为防汛抗旱重点区域、重点部位和抢险救灾现场提供通信保障。全力开展通信保障、网络抢修和网络恢复工作,重点保障要害部门通信畅通。
电力部门统筹调集抢险队伍、应急发电装备,为防汛抗旱重点区域、重点部位和抢险救灾现场提供电力保障。督导电力防汛抢险、抗旱救灾工作,及时更新发布受灾情况、救援力量、复电进度等信息。保障城区生命线及防汛抗旱重要用户的电力供应。指导基层做好配电站房防淹工作。
(8)宣传部门组织新闻媒体及时更新、滚动播报暴雨、洪水、旱情的有关信息,召开新闻发布会,加强正面宣传报道和舆论引导。
(9)根据汛情、旱情、险情发展需要和街道(功能区)请求,应急、消防救援部门统筹全区应急救援力量开展应急救援救灾,实施受灾群众生活救助,协调民兵参与应急处置。
(10)水务等部门做好防洪工程调度。根据街道(功能区)请求,应急部门协同调拨防汛物资。
(11)强降雨区的街道(功能区)按照转移避险应急预案确定的转移区域、转移人员、转移路线,组织好相关人员的转移工作,转移至安全地点并妥善安置。要落实转移安全责任制,做到应转尽转、不落一人。
(12)加强水资源统一管理,做到开源与节流并举,合理调配水资源。加强灌区工程管理,及时配备应急水源工程,因地制宜地搞好调度。适时限制或关闭高耗水行业,为灾区的生活和生产及时供水。地表水相对贫乏的地区,在降低15%灌溉定额的同时,通过打井、开采地下水、补充地表水、节水灌溉等措施尽可能满足需水要求。根据水源的可开采量,实行应急开源、应急限水、应急调水、应急送水等措施,最大限度地减少旱灾损失。
(13)相关街道(功能区)防指指挥到岗到位,在区防指统一指挥下,积极开展防汛应急处置、抗旱救灾工作,重要情况第一时间上报。包保重点工程和街道(功能区)的区领导、区防指成员到分管区域组织指挥防汛抗旱工作。各级防汛抗旱责任人在岗在位,靠前指挥,组织做好防汛抢险、抗旱救灾应急处置工作。
(14)预报强降雨区的街道(功能区)视情采取停课、停工、停业、停运、停产等措施,加强对地下商场、地下停车场、铁路立交、易涝点等部位的值守管控,并封闭危险路段,实行交通管制。
(15)视情请求市防指在专家、队伍、装备和物资方面给予支援。
5.4 一级应急响应
5.4.1 启动条件
5.4.1.1 符合以下条件之一的,启动防汛一级应急响应:
(1)市气象局发布暴雨红色预警,预报未来24小时内可能发生较大范围强降雨,预计对全区部分区域产生特别严重影响或有特别严重程度致灾性;
(2)大汶河超过保证水位,且水位可能继续上涨;
(3)小(一)型水库溃坝;区级河道发生超出现状防洪能力的洪水或中型水库水位临近警戒水位, 发生特别重大险情,严重威胁大坝及群众生命财产安全;
(4)城区发生严重洪涝灾害, 出现严重道路行洪、道路积水,造成城区大面积交通瘫痪;
(5)城区、低洼地区洪涝灾害严重,严重威胁人民群众生命财产安全;
(6)发生山体坍塌、泥石流等山洪地质灾害;
(7)2个街道(功能区)发生特大洪涝灾害。
5.4.1.2 符合以下条件之一的,启动抗旱一级应急响应:
(1)农作物受旱面积6.92万亩以上;
(2)区域农业旱情指数2.1≤Ia≤4;
(3)农作物生长期内连续无有效降雨的天数春秋季在75天以上,夏季在50天以上,冬季在80天以上;
(4)山丘区因旱临时性饮水困难人口5万人以上;
(5)两个以上街道(功能区)同时发生特大干旱;
(6)城区干旱缺水率>30%,出现极为严重的缺水局面或发生供水危机,城区生活、生产用水受到极大影响。
5.4.2 响应行动
(1)区防指指挥或委托常务副指挥签署启动一级应急响应命令,组织成员单位会商,部署防汛抢险、抗旱救灾工作。
(2)区防指办公室加强值班值守力量,密切监视汛情旱情发展变化,及时收集汇总分析雨情、水情、工情、险情、灾情信息,及时向区防指汇报。做好重点工程调度,视情紧急调拨防汛抗旱物资、调度防汛抢险、抗旱救灾队伍。
(3)区防指按照灾害类别,派出由有关部门、专家组成的工作组和专家组,指导相关街道(功能区)做好防汛抗旱工作。
当发生河道、水库重大险情和严重山洪灾害时,区水务局做好专家技术支撑工作,区防指办公室协调做好抢险队伍和物资保障。区工业和信息化局做好通信保障。
当发生重大地质灾害时,区自然资源局做好专家技术支撑工作,区防指办公室协调做好抢险队伍和物资保障。区工业和信息化局做好通信保障。
当发生严重城区内涝时,区水务局做好内涝排水的专家技术支撑工作,区防指办公室协调做好抢险队伍和物资保障。区工业和信息化局做好通信保障。
当发生干旱灾害时,区水务局、区农业农村局做好专家技术支撑工作,区防指办公室协调做好抢险队伍和物资保障。区工业和信息化局做好通信保障。
当其他重要基础设施发生重大险情时,行业主管部门做好专家技术支撑工作,区防指办公室协调做好抢险队伍和物资保障。区工业和信息化局做好通信保障。
(4)区委、区政府成立抢险救灾指挥部和前线指挥部。
(5)区防指成员单位主要负责人到岗到位,加强值守,相关情况及时上报区防指。
(6)区防指成员单位按照职责分工做好相关工作,调配资源,全力做好抢险救灾和应急保障工作,及时查灾核灾,按规定续报受灾情况,工作情况按要求上报区防指,重要情况第一时间上报。
(7)水务等部门加强信息调度分析,持续做好会商研判,随时报送监测预报、水利工程运行、城区内涝、抢险救援等情况。
(8)各主管部门按照职责分工,广泛调动资源,协调各方力量,全力做好抢险救灾、抗旱救灾和应急保障工作。
公安部门组织做好灾区治安管理和防汛抢险时的警戒、安全保卫工作,实施必要的交通管控,及时疏导车辆、行人。引导抢险救援、抗旱救灾车辆有序快速通行。
交通运输部门组织做好防汛抗旱物资运输、抢险救援、抗旱救灾力量投送、大规模滞留人员疏散、转移和受损公路、铁路、桥梁抢修。做好公交站、客运站防涝排水和公交车、出租车紧急避险。
通信部门组织电信运营企业,为防汛抗旱重点区域、重点部位和抢险救灾现场提供通信保障。全力开展通信保障、网络抢修和网络恢复工作,重点保障要害部门通信畅通。
电力部门统筹调集抢险队伍、应急发电装备,为防汛抗旱重点区域、重点部位和抢险救灾现场提供电力保障。督导电力防汛抢险、抗旱救灾工作,及时更新发布受灾情况、救援力量、复电进度等信息。保障城区生命线及防汛抗旱重要用户的电力供应。指导基层做好配电站房防淹工作。
(9)宣传部门按照抢险救灾指挥部部署,组织新闻媒体及时发布汛情旱情通报,召开新闻发布会,加强正面宣传报道和舆论引导。
(10)水务部门实施防洪工程联合调度,财政部门紧急拨付救灾资金,应急等有关部门单位组织指导地方转移救助受灾群众,统筹抢险救援力量,协调民兵参与应急处置。
(11)强降雨区的街道(功能区)按照转移避险应急预案确定的转移区域、转移人员、转移路线,组织好相关人员的转移工作,转移至安全地点并妥善安置。要落实转移安全责任制,做到应转尽转、不落一人。
(12)在水资源科学配置方面,按照“先生活、后生产,先节水、后调水,先重点、后一般”的原则,加强水资源统一管理,做到开源与节流并举,合理调配水资源。加强灌区工程管理,及时建设配套应急水源工程,因地制宜地搞好调度。压减供水指标,限制或者暂停高耗水行业用水,限制或者暂停排放工业污水,缩小农业供水范围或者减少农业供水量,限时或者限量供应城镇居民生活用水。地表水相对贫乏的地区,在降低20%灌溉定额的同时,通过打井、开采地下水、补充地表水、节水灌溉等措施尽可能满足用水需求。根据水源的可开采量,实行应急开源、应急限水、应急调水、应急送水等措施,最大限度地减少旱灾损失。
(13)相关街道(功能区)防指指挥到岗到位,在区防指统一指挥下,积极开展防汛抢险、抗旱救灾工作,重要情况第一时间上报。包保重点工程和街道(功能区)的区领导、区防指成员到分管区域组织指挥防汛抗旱工作。各级防汛抗旱责任人在岗在位,靠前指挥,组织做好防汛抢险、抗旱救灾应急处置工作。
(14)预报强降雨区的街道(功能区)果断采取停课、停工、停业、停运、停产等措施,加强对地下商场、地下停车场、铁路立交、易涝点等部位的值守管控,并封闭危险路段,实行交通管制。
(15)请求市防指在专家、队伍、装备和物资方面给予支援。
5.5 响应调整
当响应条件发生变化时,区防指应当及时调整响应等级,报请区防指领导签署。
5.6 响应终止
险情基本消除、生产生活秩序基本恢复后,可按程序终止应急响应。
6 信息报告与发布
6.1 信息报告
信息报告内容主要包括雨情、水情、工情、险情、灾情等信息,险情(灾情)发生时间、地点、影响范围、基本过程、财产损失、人员伤亡情况、已采取应对措施、需要支援事项以及报告人姓名、单位、联系电话等。
区防指成员单位负责通过各自行业系统渠道,汇总上报职责范围内信息;区防指办公室负责汇总全区信息,按规定向市防指、区委区政府报告,并通报有关部门单位。发生重特大防汛突发事件的,由区政府按程序向市政府报告。
突发险情、灾情报告分为首次报告和续报。发生较大和比较敏感的一般险情灾情时,所在地的街道(功能区)防指以及有关区防指成员单位在发生后10分钟内电话报区防指办公室,30分钟内书面报告,详细信息报告不晚于事件发生后90分钟。发生突发重大险情灾情时,所在地的街道(功能区)防指以及有关区防指成员单位在发生后10分钟内报区防指办公室(区防指在发生后15分钟内报市防指办公室);骨干河道重要堤防和防洪重点中型水库发生的重大险情应在险情发生后立即报告区防指办公室。险情或灾情发生后,有关责任部门单位应当及时掌握有关情况并做好首次报告。突发险情、灾情发展过程中,根据险情、灾情变化情况及抢险救灾情况,做好续报工作,直至险情排除、灾情稳定或结束。
防汛应急信息的报送和处理应坚持快速、准确、详实原则,重要信息立即上报。因客观原因无法立即准确掌握的信息,应及时报告基本情况,同时尽快了解情况,及时补报详情。
6.2 信息发布
信息发布应当坚持及时、准确、客观、全面原则,按规定统一发布汛情、旱情、灾情以及相关突发事件事态发展、应急救援处置工作等信息。
防汛抗旱及抢险救灾等信息由区防指审核发布;涉及灾情的,由应急部门审核和发布。
信息可利用广播、电视、报刊、电话、微信、微博、手机短信、警报器、显示屏、宣传车或组织人员入户通知等方式发布。对老、弱、病、残、孕等特殊人群以及学校等特殊场所、警报盲区应当采取有针对性的发布方式。
7 后期处置
在区委、区政府的统一领导下,由区政府有关部门单位和街道(功能区)组织开展善后处置和灾情核定,及时收集、清理和处理污染物,对受灾情况、人员补偿、征用物资补偿、重建能力、可利用资源等作出评估,制定补偿标准和灾后恢复计划并实施。所需资金由区、街道(功能区)财政部门和相关单位负责安排。
7.1 水毁工程修复
对影响防洪安全的水毁工程,应当尽快实施修复。对其他遭到毁坏的防洪、交通、电力、通信、供气、供水、排水、房屋、人防、跨河管线、水文等设施,分别由相关产权部门负责修复重建。
7.2 灾后重建
受灾区域恢复生产、重建家园相关工作由相关部门单位负责,原则上应当按照原标准实施恢复,在条件允许的情况下,可提高标准重建。
7.3 保险理赔
受灾地区投保的水毁设施、设备以及居民财产损失由相关部门单位按照有关规定组织赔付。
7.4 生活安置
区应急局会同有关方面组织协调紧急转移安置受灾群众和灾害救助,组织协调重要应急物资的调拨和紧急配送,管理、分配和监督使用救灾款物。
7.5 其他处置工作
各有关部门单位应当根据自身职责做好疫情处理、污染物清除、征用调用物资费用补偿、取土占地复垦、砍伐林木补种、防汛抗旱物资补充等其他善后处置工作。
7.6 总结评估
汛情旱情过后,区防指负责针对防汛抗旱救灾工作各个方面和环节开展定性定量分析评估,提出改进措施,形成评估报告,上报市防指。
8 保障措施
8.1 后勤保障
区应急局会同有关方面紧急转移安置受灾群众,做好受灾群众生活救助工作。区卫生健康局负责做好传染病预防与控制和医疗救护工作。区发展改革局、区住房城乡建设局、区水务局以及国网莱芜供电公司钢城供电中心等部门单位负责保障水、电、气、油等物资供应。区财政局负责做好抗洪抢险、抗旱救灾资金保障。
8.2 应急队伍保障
公安、消防救援、民兵预备役是抢险救灾的重要力量,主要担负急、难、险、重抢险任务。区政府、各街道办事处(功能区管委会)应当组建以民兵预备役为骨干的群众抢险救灾队伍,或由部门设立专业抢险救灾队伍。街道(功能区)、社区(村)应当视情组织群众参加抗洪救灾。
8.3 通信与信息保障
区工业和信息化局负责保障防汛抗旱现场和各级防指通讯畅通。各级防指按照以公用通信网为主的原则,合理组建防汛抗旱专用通信网络,组织新闻媒体及时播发、刊登防汛抗旱信息。防洪排涝抗旱设施管理单位必须配备通信设施。
8.4 交通运输保障
交通运输部门负责保障抢险救灾、人员转移、物资运输的车辆调配工作;公安交通管理部门负责保障抢险救灾、人员转移、物资运输车辆畅通,必要时实行交通管制。
8.5 物资保障
各级各部门单位应当按照分级储备、分级管理、统一调配、合理负担和“宁可备而不用、不可用而不备”的原则建设物资仓库,储备足够数量的防汛抗旱物资、器材设备,必要时征用社会物资与设备。
8.6 人员转移保障
人员转移工作由街道(功能区)负责,各相关部门单位协助实施。各街道(功能区)、社区(村)要按照预案确定的工作流程、转移路线、安置地点做好人员转移安置工作。
9 预案管理
9.1 编制与实施
本预案由区防指办公室负责组织编制,根据实际情况变化适时修订,并按原程序报批。
与防汛抗旱工作密切相关的部门单位应当制定相应的防汛抗旱应急预案,并报区防指备案。各街道(功能区)可参照编制本级防汛抗旱应急预案。
9.2 宣传、培训与演练
各级防汛抗旱成员单位应当充分利用电视、广播、报纸等媒体宣传防汛、抗旱、避险、自救、互救等知识,针对低洼地区、铁路立交道、易行洪道路、病险水库、地质灾害防范区等重点区域,加大宣传力度,增强周边居民的防汛意识和避险技能。
培训实行分级负责的原则,每年汛前至少组织1次培训,重点对指挥调度人员、抢险救灾人员、防汛抗旱业务人员、水利工程防汛“三个责任人”(行政责任人、技术责任人、巡查责任人)实施培训,提高专业技能和抢险救灾能力;每年至少组织1次应急演练,可组织综合性应急演练,也可针对城区铁路立交道、低洼地区、水库、头顶塘坝、河道等重点风险部位开展专业性应急演练,应急演练可采取桌面推演、现场演练等方式进行。
10 奖励与责任追究
对在防汛抗旱工作中做出突出贡献的集体和个人,按规定予以表扬;对在防汛抗旱工作中英勇献身的,按规定授予相应荣誉称号;对防汛抗旱工作中致伤致残的,按规定给予工作生活照顾。对防汛抗旱工作中玩忽职守造成损失的,依法依规追究责任。
11 附则
11.1 名词术语定义
暴雨蓝色预警信号:12小时内降雨量将达50毫米以上,或者已达到50毫米以上且降雨可能持续。
暴雨黄色预警信号:6小时内降雨量将达50毫米以上,或者已达50毫米以上且降雨可能持续。
暴雨橙色预警信号:3小时内降雨量将达50毫米以上,或者已达50毫米以上且降雨可能持续。
暴雨红色预警信号:3小时内降雨量将达100毫米以上,或者已达100毫米以上且降雨可能持续。
洪涝灾害:因降雨、融雪、冰凌、溃坝造成的洪水、渍涝灾害和由暴雨造成的山洪、泥石流等灾害。
区级河道:主要指颜庄河、辛庄河、盘龙河三条河道。
农业旱情:耕地或农作物受旱情况,即土壤水分供给不能满足农作物发芽或正常生长要求,导致农作物生长受到抑制甚至干枯的现象。
城区旱情:因旱导致城区居民和工商企业缺水的情况,包括缺水历时及程度等。
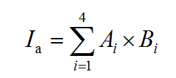
区域农业旱情指数:区域农业旱情指数按下列公式计算:

式中:Ⅰa——区域农业旱情指数(指数区间为0~4);
i——农作物旱情等级(i=1、2、3、4依次代表轻度、
中度、严重和特大干旱);
Ai——某一旱情等级农作物面积与耕地总面积之比(%);
Bi——不同旱情等级的权重系数(轻度、中度、严重和
特大干旱的权重系数Bi分别赋值为1、2、3、4)。
因旱临时性饮水困难:是指由于干旱造成城乡居民临时性饮用水困难,属于长期饮水困难的不应列入此范围。即由于干旱,导致人、畜饮水的取水地点被迫改变或基本生活用水量北方地区低于20升/人·天、南方地区低于35升/人·天,且持续15天以上。因旱牲畜饮水困难标准可参考其他标准。在统计牲畜饮水困难时要将羊单位按5︰1比例换算为大牲畜单位。
11.2 预案解释部门
本预案由区防指办公室负责解释。
11.3 预案实施时间
本预案自印发之日起实施,2022年6月25日印发的《济南市钢城区防汛应急预案》(钢城政办字〔2022〕11号)和2015年11月27日印发的《莱芜市钢城区抗旱应急预案》(钢城政办发〔2015〕31号)同时废止。
附件
区防指各成员单位职责
区人武部:负责组织指挥民兵参加防汛抗旱抢险救灾工作,协助转移和救援群众;其他防汛抗旱任务。
区委宣传部:负责指导协调全区防汛抗旱工作宣传、新闻发布和舆论引导工作,指导发生灾情的街道(功能区)和相关部门单位做好新闻发布和舆论引导调控工作;负责协调区融媒体中心做好防汛抗旱工作新闻宣传,积极开展防汛抗旱知识普及和公益宣传。及时向公众发布汛情旱情预警、防汛抗旱应急响应等信息;负责协调区委网信办做好洪涝干旱灾害舆情引导调控工作,会同相关部门单位,线上线下联动,积极防范化解涉灾重大网络舆情风险;其他防汛抗旱任务。
区发展改革局:负责积极协助相关项目建设单位争取防灾减灾救灾市级以上投资支持;指导协调重大防汛抗旱工程、水毁工程及抗旱应急水源工程等政府投资项目的立项审批上报工作;负责做好公共人防工程的险情处置、应急救援和积水排除,确保人防工程安全度汛;根据区防指指令,利用防空警报参与发布城市防汛红色预警和一级应急响应启动信号;其他防汛抗旱任务。
区教育和体育局:负责组织、协调和指导本系统的防汛抗旱工作,保障师生人身安全;组织开展师生避险转移、防汛抗旱安全知识宣传教育和培训演练,培养学校师生的安全意识、节水意识,提高自我防护能力;做好校舍设施安全隐患排查整治工作,提前组织受威胁区、危险区师生转移并妥善安置,协助提供受灾人员转移安置场所;其他防汛抗旱任务。
区工业和信息化局:协调做好灾区、抢险现场通信保障工作;配合协调防汛抗旱抢险救援有关应急产品的生产组织;负责协调灾区群众和救灾人员重要生活必需品应急调度供应;掌握储备单位生活必需品的库存情况,以便应急调用;其他防汛抗旱任务。
区财政局:负责筹集落实防汛抗旱经费并监督使用;其他防汛抗旱任务。
区自然资源局:负责全区地质灾害防治工作,指导地质灾害调查评价、专业监测和预报预警等工作;承担地质灾害应急救援的技术支撑工作;协调重大防洪工程建设、蓄滞洪区、应急抗旱水源工程建设、灾后重建等建设项目所需临时性用地的依法审批工作;负责指导、协调国有林场及苗圃的防汛抗旱救灾、生产恢复工作;其他防汛抗旱任务。
区住房城乡建设局:负责指导建筑企业做好房屋建筑工程的安全度汛工作,指导、协调全区在建房屋建筑工地、燃气和供热工程防汛抢险救灾工作;指导灾区开展因灾毁损房屋的安全性鉴定、修复;指导农村住房建设、农村住房安全和农村低收入群体危房改造;督促街道(功能区)及时做好城市绿地枯死倒伏树木的清理工作;督促城区公园做好园林绿地枯死倒伏树木的清理工作;其他防汛抗旱任务。
区城管局:负责雨前及时清扫和运输道路上的垃圾杂物;雨后及时清扫道路,尽快恢复路面清洁;协调洒水车等专业车辆参与抗旱运水;其他防汛抗旱任务。
区交通运输局:负责承担防汛抗旱工作的交通运输保障,协调解决交通运输保障中的重大问题,检查、督促有关单位做好所辖桥梁、隧道、公路等交通运输基础设施防洪安全隐患排查、抢修等,维护公共交通运营秩序,及时调配运力,妥善疏导滞留旅客;做好国省干线工作、城市道路及桥梁等在建工程安全度汛工作,在紧急情况下责成项目业主(建设单位)及时清除阻碍行洪设施;优先运送防汛抗旱、防疫人员和物资、设备;为紧急抢险和撤离人员及时组织提供所需车辆运输工具,保障防汛抗旱指挥车辆、抢险救灾车辆公路畅通;其他防汛抗旱任务。
区水务局:负责防洪除涝工程的安全运行管理;负责水利工程调度,统一合理调配抗旱水源,充分发挥现有水利工程效益;指导做好城市供水,协调落实城市应急供水;协调组织为特困灾区运送生活用水,及时掌握城乡人畜饮水困难、河道来水、灌溉、蓄水等旱情水情信息;组织编制重要河道、湖泊(水库)和重要水利工程防御洪涝抗御旱灾调度和应急水量调度方案,按程序报批并组织实施;承担水情、旱情监测预警以及防御洪水和城市内涝排水的技术支撑工作;组织防洪除涝工程应急度汛、水毁工程的修复工作以及抗旱应急水源工程建设;负责对接市气象局气象服务处和莱芜水文中心,并向区防指及成员单位提供雨情、水情、墒情和灾害性天气预警等信息;其他防汛抗旱任务。
区农业农村局:负责农业防灾、减灾和救灾工作;监测农业灾情,适时提供旱情预警信息;协调种子、化肥等救灾物资储备和调拨;提出生产救灾资金安排建议,指导农业紧急救灾、农业抗旱减灾技术服务和灾后生产恢复;指导街道(功能区)做好农业抗旱和农田排涝工作;指导做好水产养殖防汛避风安全生产工作;指导粮食等农产品生产和农业生产节约用水工作。组织、监督农业植物和水生动植物防疫检疫有关工作;其他防汛抗旱任务。
区文化和旅游局:负责协调有关部门指导景区汛期安全管理工作、开展应急救援工作;其他防汛抗旱任务。
区卫生健康局:负责组织医疗救治、抢救伤员,做好病媒生物防治工作;做好饮用水卫生监督、检测工作,预防控制疫病暴发流行;其他防汛抗旱任务。
区应急局:承担区防指日常工作;负责组织协调重大水旱灾害应急救援工作;统一协调全区应急救援队伍,统筹应急救援力量建设。负责组织协调较大洪涝灾害及次生地质灾害的防汛抢险、险情处置工作;组织指导协调灾情(含人员伤亡)核查统计上报、损失评估、灾害救助等工作,依法统一发布灾情;会同有关方面组织协调紧急转移安置受灾群众和灾害救助,组织协调重要应急物资的调拨和紧急配送,管理、分配和监督使用救灾款物;其他防汛抗旱任务。
区市场监管局:负责做好防汛抗旱突发事件发生期间价格监管工作,严厉打击哄抬物价、囤积居奇等违法行为,保证市场秩序稳定;其他防汛抗旱任务。
市公安局钢城区分局:负责维护灾区社会治安秩序,依法打击造谣惑众和盗窃、哄抢防汛抗旱物资以及破坏防洪抗旱设施的违法犯罪活动,协助有关部门单位妥善处置因防汛抗旱引发的群体性治安事件,协助组织群众从危险地区安全撤离或转移,协助做好抢险救灾通行工作;负责城市低洼易涝路段的交通管制、车辆人员疏导等工作;负责组织防汛抗旱道路管制、现场道路封闭警戒、交通秩序维护疏导;会同交通运输部门做好因降雨、台风等引发交通安全突发事件应急处置;其他防汛抗旱任务。
国网莱芜供电公司钢城供电中心:负责所辖电力设施防汛安全,做好日常供电线路检修,应急提供移动成套发电设备,保证抗洪抢险抗旱救灾的电力供应;其他防汛抗旱任务。
区消防救援大队:负责组织指挥消防救援队伍参加应急抢险救援工作,负责以抢救人员生命为主的应急救援任务;根据抗旱减灾工作进展情况,配合开展应急拉水、送水任务;其他防汛抗旱任务。
济南民生实业有限公司:负责做好所属建设工程防洪排涝设施的规划、设计、建设与验收,以及区域性排水系统的完善与提升;做好既有防洪排涝设施保护;做好跨汛期施工工程的施工安全工作;负责编制本单位业务领域防汛应急预案并组织演练;其他防汛抗旱任务。
区昌源水务集团有限公司:负责统筹全区原水、供水、排水、污水和再生水利用的统一建设、运营、管理等;负责做好所属防洪排涝、供水工程等设施安全运行管理;负责做好跨汛期施工工程的施工安全工作;负责编制本单位业务领域防汛排涝抢险及应急供水预案并组织演练;负责其他防汛抗旱任务。
扫码使用手机浏览本页内容
打印本页